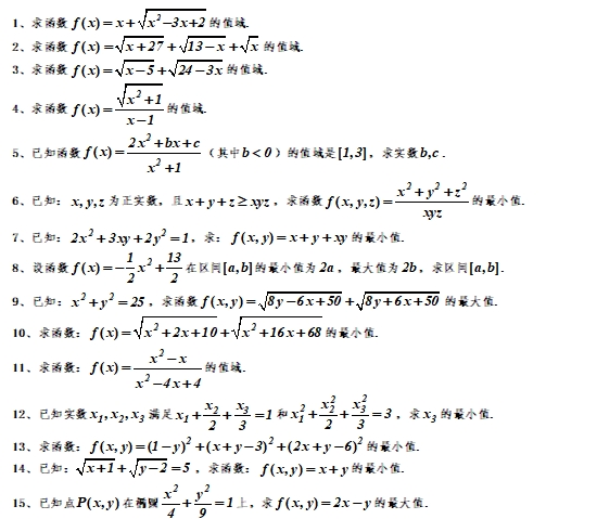
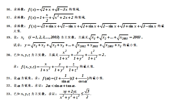
23个求极值和值域专题




声明:本站所有文章,如无特殊说明或标注属于用户投稿。 参考资料主要来自国家教育部、各省市考试院、全国大专院校等公开信息。供各位高考志愿规划师或是在进行高考志愿填报的学生和家长参考。 如存在错误,可联系我们进行处理,我们会以严谨认真的态度对待,尽快修复错误,以确保内容的准确性。
高考志愿填报规划师-培训报名-经验学习交流平台-ZY志愿规划-课程及系统合作加盟 高中学习资料 高考数学23个求极值和值域专题 https://www.zycareer.com/130493.html